الرئيسية
خدمات تامة
عودة
عرض النتائج
بحث
الأقسام
جميع الاقسام
2373
تصميم
252
تصاميم سوشيال ميديا
36
منشورات سوشيال ميديا
17
إعلانات سوشيال ميديا
16
صور مصغّرة
3
غلاف سوشيال ميديا
0
فلاتر وعدسات وهايلايتس
0
ملصقات تطبيقات التواصل
0
تصميم وتعديل شعارات
37
تصميم شعار
33
شعار نصّي
3
شعار 3D
0
تحسين شعارات
1
تصميم مواقع وتطبيقات
9
تصميم تطبيق
3
تصميم موقع
5
تصميم صفحة هبوط
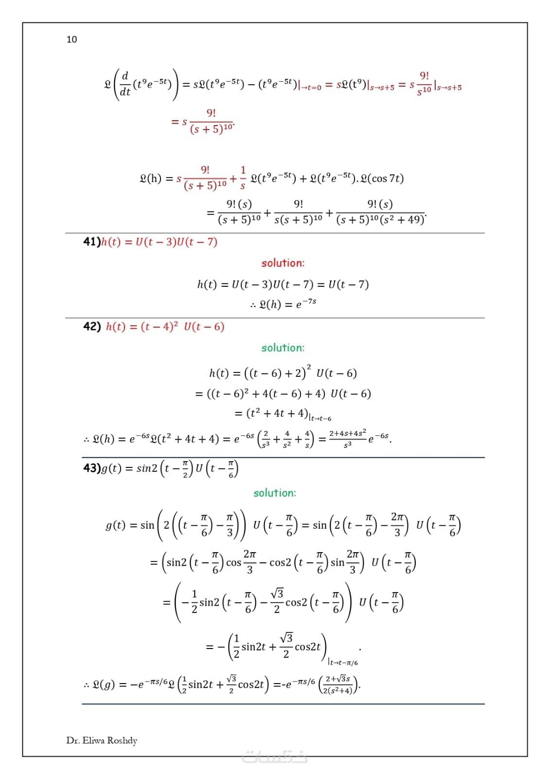
1
تصميم لوحة تحكم
0
تصميم أيقونات
0
تصاميم توضيحية
35
تصميم عروض تقديمية
34
تصميم إنفوجرافيك
1
تصميم خرائط ذهنية
0
تصاميم مهنية
27
تصميم بطاقة عمل
6
تصميم سيرة ذاتية
21
تصميم كتب ومطبوعات
14
فلاير وبروشور ورول اب
2
تصميم غلاف كتاب
2
تنسيق كتب
5
تصميم كتب أطفال
0
مطبوعات مكتبية
2
تصميم منيو
3
تصاميم العلامة التجارية
6
تصميم هوية بصرية
1
تصميم بروفايل شركة
2
تصميم QR Code
1
تصميم ختم
2
تصاميم تسويقية
9
تصميم بنرات إعلانية
5
عبوات وأغلفة منتجات
4
تعديل وتحسين الصور
53
تعديل الصور
17
إزالة خلفية الصور
28
ترميم صور قديمة
5
تعديل صور منتجات
2
تحويل إلى Vector
1
فن ورسم
10
رسوم كرتونية
5
بورتريه وكاريكاتير
5
تصميم شخصيات 3d
0
تصميم خلفيات
0
تصاميم الألعاب
0
تصميم ستوري بورد
0
تصميم رموز NFT
0
تصاميم 3d
4
تصميم منتجات
2
تصاميم صناعية
0
تصاميم CNC
0
طباعة ثلاثية الأبعاد
2
أخرى
0
دعوات وتهنئة ومعايدات
4
دعوات زواج
2
أعياد ومناسبات
2
شهادات شكر وتقدير
0
تصميم أزياء وإكسسوارات
2
تصميم تيشرتات
1
تصميم أزياء
0
مجوهرات وإكسسوارات
1
تصاميم نصيّة إبداعية
4
تصميم مخطوطات
4
تصميم توقيع
0
الرسم بالذكاء الاصطناعي
2
أخرى
0
برمجة وتطوير
213
تطوير مواقع
94
إنشاء موقع إلكتروني
40
إنشاء صفحة هبوط
15
اختبارات تجريبية
12
إصلاح أخطاء المواقع
4
تخصيص وتعديل المواقع
2
حماية وتأمين المواقع
15
نسخ احتياطي ونقل استضافة
0
مدونات بلوجر
6
ووردبريس
16
إنشاء موقع ووردبريس
8
تنصيب ووردبريس
1
إصلاح مشكلات ووردبريس
1
تخصيص وتعديل ووردبريس
3
تحسين سرعة ووردبريس
0
إضافات ووردبريس
0
تعريب قوالب ووردبريس
1
حماية ووردبريس
0
نسخ احتياطي ونقل استضافة
2
إنشاء متجر إلكتروني
13
شوبيفاي
2
ووكومرس
3
سلة
0
أوبن كارت
1
يوكان
1
زد
0
أخرى
6
تطوير تطبيقات جوال
16
إنشاء تطبيق
10
تعديل التطبيقات
0
إصلاح مشكلات التطبيقات
2
تحويل موقع إلى تطبيق
0
تحويل تصميم إلى تطبيق
1
رفع التطبيقات على المتاجر
2
ريسكين التطبيقات
0
إعلانات تطبيقات الجوال
1
تطوير برمجيات
33
تطبيقات سطح المكتب
2
إنشاء تطبيق ويب
10
واجهات API وتكاملات
2
تحويل تصميم لموقع
11
تطوير شات بوت
0
أنظمة ERP و CRM
2
بوابات دفع إلكتروني
1
أتمتة
5
لغات برمجة
16
برمجة CSS و HTML
6
برمجة بايثون
4
برمجة PHP
1
برمجة Java و .NET
0
مراجعة الأكواد البرمجية
4
أخرى
1
تطوير ألعاب
0
Unity
0
Unreal
0
Godot
0
ألعاب الويب
0
أخرى
0
دعم فني تقني
18
سيرفرات ولينكس
4
شبكات
3
أنظمة تشغيل وبرمجيات
1
استضافات ونطاقات
4
أمن وحماية بيانات
4
إدارة البريد الإلكتروني
1
أخرى
1
تطوير الذكاء الاصطناعي
3
تطبيقات ذكاء اصطناعي
3
وكلاء ذكاء اصطناعي
0
أخرى
3
فيديو وأنيميشن
20
فيديوهات سوشيال وإعلانات
2
فيديوهات قصيرة
1
فيديوهات إعلانية
0
فيديوهات يوتيوب
0
فيديوهات سوشيال ميديا
1
تحرير الفيديو
13
مونتاج فيديو
9
تصميم انترو
0
ترجمة فيديو
4
مؤثرات بصرية VFX و CGI
0
أنيميشن وموشن جرافيك
4
موشن جرافيك
0
وايت بورد
3
تحريك شعار
0
رسوم متحركة للأطفال
0
تحريك شخصيات
0
أنيميشن 2D
0
أنيميشن 3D
1
إنتاج الفيديو
0
تصوير فيديو UGC
0
دعوات وتهنئة ومعايدات
0
فيديوهات شرح وتعليم
0
فيديوهات منتجات 3D
0
فيديوهات دينية
0
تصميم فيديو بالذكاء الاصطناعي
0
أخرى
0
هندسة وعمارة
37
هندسة معمارية
25
تصميم داخلي وديكور
8
تصميم مخططات معمارية
10
تصميم خارجي وواجهات
3
إظهار معماري
3
تصميم حدائق ولاند سكيب
0
تصاميم معمارية تجارية
1
أخرى
0
هندسة مدنية وإنشائية
5
تصميم إنشائي
1
حساب كميات الإنشاءات
3
أخرى
1
هندسة ميكانيكية
4
تصميم ميكانيكي
3
أنظمة HVAC
1
أنظمة مياه وصرف
0
أنظمة مكافحة الحريق
0
أخرى
0
هندسة كهربائية
0
تصميم مخططات كهربائية
0
أخرى
0
هندسة إلكترونيات
2
أنظمة مدمجة وIOT
1
لوحات دوائر PCB
1
أخرى
0
استشارات هندسية
0
أخرى
1
تسويق رقمي
22
التسويق عبر مواقع التواصل
9
إدارة حسابات التواصل
8
التسويق على فيسبوك
1
التسويق عبر انستقرام
0
التسويق عبر يوتيوب
0
التسويق عبر واتساب
0
التسويق عبر تليجرام
0
التسويق عبر تويتر
0
التسويق على سناب شات
0
التسويق عبر تيك توك
0
التسويق عبر بنترست
0
إعلانات مواقع التواصل
2
إعلانات فيس بوك
1
إعلانات تيك توك
0
إعلانات سناب شات
0
إعلانات انستقرام
1
إعلانات يوتيوب
0
إعلانات تويتر
0
تحسين محركات البحث
4
باك لينك
0
جيست بوست
0
تحليل سيو شامل
0
بحث كلمات مفتاحية
0
سيو متاجر إلكترونية
1
سيو محلي Local SEO
0
سيو يوتيوب
0
تحليل منافسي SEO
1
خدمات سيو أخرى
2
أساليب التسويق
4
التسويق عبر محركات البحث
0
إعلانات المواقع
1
تسويق قواعد البيانات
1
الإضافة لأدلة المواقع
1
التسويق عبر المنتديات
1
التسويق عبر البريد الإلكتروني
0
التسويق عبر الشبكات الإعلانية
0
تسويق تطبيقات الجوال
0
النشر الصحفي
0
خطط واستشارات تسويقية
2
خطط تسويقية
2
استشارات تسويقية
0
تحليل الويب
1
إضافة أكواد التتبع
1
تحليل سوشيال ميديا
0
أخرى
0
أعمال
319
تخطيط أعمال
17
دراسة جدوى
2
استشارات أعمال
10
خطط عمل
2
أسماء تجارية
0
الجودة والاعتماد ISO
0
تأسيس مشاريع
0
بحث السوق
0
إدارة مخاطر
3
خدمات قانونية
56
مستندات وعقود قانونية
33
استشارات قانونية
22
بحوث قانونية
1
خدمات مالية ومحاسبية
66
محاسبة ومسك دفاتر
44
قوائم مالية
8
محاسبة ضريبية
8
تحليل مالي
5
استشارات مالية
1
استشارات تداول وأسهم
0
إدارة التجارة الإلكترونية
14
إضافة منتجات
14
إدارة متاجر إلكترونية
0
استشارات تجارة إلكترونية
0
بحث عن منتجات
0
إدارة برمجيات
3
تخطيط موارد مؤسسات ERP
0
نظم إدارة مشاريع PMS
2
إدارة علاقات عملاء CRM
1
دعم فني وإداري
158
خدمة عملاء
4
مساعد افتراضي
24
تحويل ملفات
130
بحث على الإنترنت
0
إدارة موارد بشرية
2
استشارات موارد بشرية
0
تطوير مؤسسي
0
إدارة التوظيف
0
رواتب وأجور
2
تقييم وظيفي
0
أنظمة موارد بشرية
0
أخرى
1
صوتيات
13
تعليق صوتي
9
تعليق صوتي رجالي
5
تعليق صوتي نسائي
4
أداء صوتي
0
غناء
0
رد آلي IVR
0
دوبلاج
0
إنتاج صوتي
2
هندسة صوتية
0
إنتاج وتلحين موسيقي
0
إنتاج كتب صوتية
2
بودكاست
0
أخرى
2
أسلوب حياة
120
تنمية شخصية
117
استشارات شخصية
114
توجيه وإرشاد مهني
3
صحة وجمال
2
صحة وتغذية
2
لياقة بدنية
0
موضة وجمال
0
مهارات حياتية وترفيه
0
فنون وحرف
0
سياحة وسفر
0
تعليم الطبخ
0
ألعاب
0
أخرى
1
كتابة وترجمة
916
محتوى مواقع
16
مقالات وتدوينات
14
صفحات الموقع الأساسية
1
محتوى صفحات هبوط
0
كتابة بروفايل شركات
1
محتوى دراسي ومهني
51
إعداد وكتابة بحوث
28
كتابة سيرة ذاتية
16
بناء بروفايل لينكدإن
5
كتابة طلبات منح
2
تحسين المحتوى
71
تدقيق لغوي
26
خدمات تلخيص
6
تنسيق المحتوى
24
صياغة وفحص اقتباس
15
محتوى سوشيال ميديا
2
كتابة منشورات سوشيال
1
خطة محتوى سوشيال
1
ترجمة
249
إنجليزية للعربية والعكس
207
فرنسية للعربية والعكس
8
تركية للعربية والعكس
7
ألمانية للعربية والعكس
7
صينية للعربية والعكس
2
ترجمة لغات أخرى
18
كتابة إبداعية
18
كتابة قصة قصيرة
5
كتابة شعر
4
تأليف كتاب
4
كتابة كلمات الأغاني
0
أخرى
5
محتوى متخصص
10
محتوى طبي وصحي
2
محتوى علمي
4
محتوى قانوني
4
محتوى تقني
0
محتوى رياضي
0
محتوى ديني وتاريخي
0
محتوى مالي واقتصادي
0
محتوى إخباري وسياسي
0
أخرى
0
محتوى تسويقي
5
نصوص إعلانية
0
وصف منتجات
1
رسائل بريد إلكتروني
4
كتابة سيناريو
5
سيناريو يوتيوب
3
سيناريو فيديوهات قصيرة
0
سيناريو فيديو سوشيال
0
سيناريو أفلام ومسلسلات
0
محتوى بودكاست
0
أخرى
2
تفريغ نصوص
484
تفريغ PDF وصور
146
تفريغ صوت وفيديو
338
محتوى الذكاء الاصطناعي
0
أخرى
5
بيانات
449
الحصول على البيانات
26
استخراج بيانات
18
جمع بيانات
8
تحليل ومعالجة بيانات
139
تحليل بيانات
118
معالجة بيانات
21
إدارة بيانات
257
إدخال بيانات
250
قواعد بيانات
7
عرض مرئي للبيانات
17
لوحات بيانات
13
رسوم ومخططات بيانية
2
نظم معلومات جغرافية GIS
2
علم البيانات وتعلم الآلة
9
تعلم الآلة
5
التعلم العميق
2
الرؤية الحاسوبية
1
معالجة اللغة الطبيعية
1
أخرى
1
تعليم عن بعد
12
تعلم المهارات الرقمية
5
تعلم البرمجة
4
تعلم التسويق الرقمي
1
تعلم تصميم الجرافيك
0
تعلم الفيديو والأنيميشن
0
تعلم العلوم المتخصصة
2
تعلم الرياضيات
1
شروحات هندسية
0
شروحات طبية
0
تعلم العلوم
0
تعلم المحاسبة
0
تعلم القرآن الكريم
1
تعلم اللغات
2
تعلم اللغة الإنجليزية
1
تعلم اللغة العربية
1
تعلم اللغة الفرنسية
0
تعلم لغات أخرى
0
تدريب وحل واجبات
3
مساعدة بحل الواجبات
3
حقائب تدريبية
0
استشارات أكاديمية وتعليمية
0
أخرى
0
سعر الخدمة
5.00
200.00
تقييم الخدمة
أو أكثر
أو أكثر
أو أكثر
أو أكثر
دولة البائع
مستوى البائع
بائع مستوى 3
بائع مستوى 2
بائع مستوى 1
حالة البائع
متواجد حالياً
هوية موثقة
Previous
Next
تفريغ وقص وتعديل خلفية صور المنتجات والاشخاص باحترافية تامة
تصميم
/
إزالة خلفية الصور
(1)
تبدأ من
5.00$
Previous
Next
عمل قاعدة بيانات لحترافية تامة باستخدام microsoft sql server
بيانات
/
قواعد بيانات
(1)
تبدأ من
5.00$
Previous
Next
تركيب 5 صور لاطفالك مع شخصيات كرتونية باحترافية تامة
تصميم
/
رسوم كرتونية
(2)
تبدأ من
5.00$
Previous
Next
تدقيق لغوي باللغتين العربية والإنجليزية باحترافية تامة
كتابة وترجمة
/
تدقيق لغوي
(1)
تبدأ من
5.00$
Previous
Next
برمجه سكربتات بايثون باحترافية تامة
برمجة وتطوير
/
برمجة بايثون
(0)
تبدأ من
5.00$
Previous
Next
تعريب قوالب الووردبريس بإحترافية تامة
برمجة وتطوير
/
تعريب قوالب ووردبريس
(3)
تبدأ من
5.00$
Previous
Next
تفريغ صوت وفيديو إلى Word باحترافية وسرية تامة
كتابة وترجمة
/
تفريغ صوت وفيديو
(0)
تبدأ من
5.00$
Previous
Next
قص صورتك بإحترافية تامة لإعادة استخدامها في إعلاناتك وتصاميم
تصميم
/
إزالة خلفية الصور
(0)
تبدأ من
5.00$
Previous
Next
أدخِل بياناتك بدقة وسرعة احترافية تامة
بيانات
/
إدخال بيانات
(0)
تبدأ من
5.00$
Previous
Next
تحويل مستنداتك من Word إلى PDF باحترافية تامة
كتابة وترجمة
/
تفريغ PDF وصور
(0)
تبدأ من
5.00$
Previous
Next
Box Packaging Design تصميم علبه او صندوق منتج باحترافية تامة
تصميم
/
عبوات وأغلفة منتجات
(1)
تبدأ من
15.00$
Previous
Next
خطة بحث علمي متكاملة العناصر
كتابة وترجمة
/
إعداد وكتابة بحوث
(21)
تبدأ من
50.00$
Previous
Next
كتابة سيرة ذاتية احترافية باللغة العربية والإنجليزية
كتابة وترجمة
/
كتابة سيرة ذاتية
(73)
تبدأ من
10.00$
Previous
Next
مراجعة وتنسيق أوراق بحثية أكاديمية وفق أسلوب النشر العلمي
كتابة وترجمة
/
إعداد وكتابة بحوث
(0)
تبدأ من
10.00$
Previous
Next
سوف ارسم لك صورة بالرصاص باحترافية
تصميم
/
بورتريه وكاريكاتير
(90)
تبدأ من
10.00$
Previous
Next
ترجمة يدوية احترافية من الانجليزي الى العربي أو العكس
كتابة وترجمة
/
إنجليزية للعربية والعكس
(8)
تبدأ من
50.00$
Previous
Next
إعداد الأبحاث العلمية والدراسات الأكاديمية
كتابة وترجمة
/
إعداد وكتابة بحوث
(8)
تبدأ من
50.00$
Previous
Next
كوتشينغ عائلي متخصصة : دعم للمراهقين وتوجيه للعلاقات الزوجية
أسلوب حياة
/
استشارات شخصية
(4)
تبدأ من
5.00$
Previous
Next
تفريغ و تنسيق جميع الملفات إلي word
كتابة وترجمة
/
تفريغ PDF وصور
(1)
تبدأ من
5.00$
Previous
Next
تحويل الملفات من PDF إلى Word Excel PowerPoint والعكس
أعمال
/
تحويل ملفات
(61)
تبدأ من
5.00$
Previous
Next
استشارة قانونية دقيقة في مختلف الأنظمة العربية
أعمال
/
استشارات قانونية
(7)
تبدأ من
15.00$
Previous
Next
التدقيق اللغوي والنحوي والإملائي باللغة العربية
كتابة وترجمة
/
تدقيق لغوي
(35)
تبدأ من
5.00$
Previous
Next
بناء وإعداد حساب LinkedIn احترافي يؤهلك للوظائف والمقابلات
كتابة وترجمة
/
بناء بروفايل لينكدإن
(4)
تبدأ من
25.00$
Previous
Next
مساعد افتراضي لإدارة أعمالك اليومية وتنظيم حياتك المهنية
أعمال
/
مساعد افتراضي
(1)
تبدأ من
10.00$
استشارة نفسية وإرشاد اسري
أسلوب حياة
/
استشارات شخصية
(15)
تبدأ من
5.00$
Previous
Next
تقديم جميع خدمات البحث العلمي
كتابة وترجمة
/
إعداد وكتابة بحوث
(16)
تبدأ من
30.00$
Previous
Next
تفريغ صوتي دقيق عربية أو إنجليزية باستخدام الذكاء الاصطناعي
كتابة وترجمة
/
تفريغ صوت وفيديو
(1)
تبدأ من
5.00$
اعداد صانع محتوى مع مدرب محترف
كتابة وترجمة
/
بناء بروفايل لينكدإن
(10)
تبدأ من
10.00$
Previous
Next
استشارات شخصية التعرف على الذات و مستويات الأدراك العقلية
أسلوب حياة
/
استشارات شخصية
(3)
تبدأ من
15.00$
Previous
Next
تحويل PDF احترافي إلى Word ،Excel والعكس صحيح
أعمال
/
تحويل ملفات
(0)
تبدأ من
5.00$
عرض المزيد