عن الخدمة

السلام عليكم ورحمة الله وبركاته،
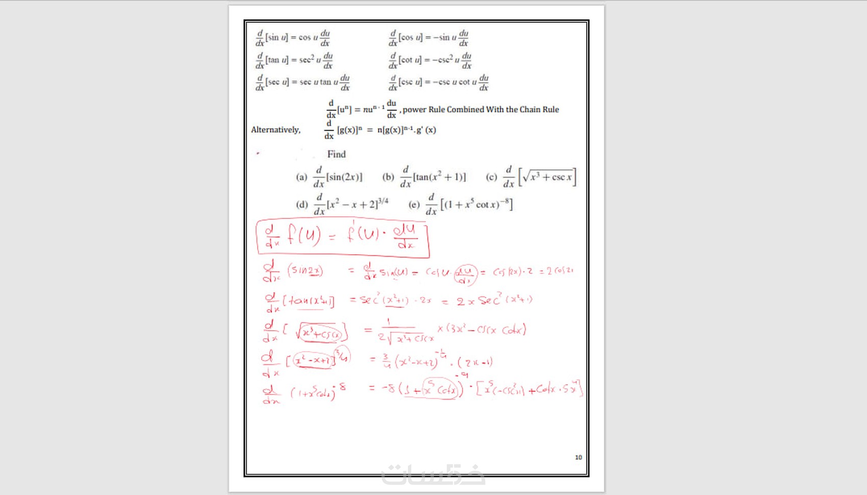
أنا أحمد، مدرس رياضيات ولدي خبرة أربع سنوات وأدرس حاليًا علوم الكمبيوتر. شاركت فى نادي الرياضيات والميكانيكا، الذي يهدف إلى استكشاف العلاقة المثيرة للاهتمام بين الرياضيات والميكانيكا. أستطيع جعل المفاهيم المعقدة بسيطة ومفهومة للجميع وأركز على المشاركة النشطة بين الطلاب لسهولة التعلم وفهم المواضيع. أستخدم أساليب مختلفة مثل التجارب والوسائط المتعددة لضمان الفهم والاستيعاب. تمتد خبرتى إلى:
حساب التفاضل والتكامل والجبر والهندسة والميكانيكا وعلم المثلثات والوظائف، جنبًا إلى جنب مع الخبرة في تدريس الرياضيات ACT ورياضيات GCSE ورياضيات IB.

- حلول المسائل والواجبات تكون مكتوبة بالوورد او ملف pdf
- شرح الدروس وتلخيصها على شكل فيديو مسجل او عبر الإنترنت على إحدى المنصات( Google-meet, zoom)
الخدمة مقابل 8 أسئلة
- المدة : اقل من يوم

يمكنك الاطلاع على التطورات على هذه الخدمة أيضا..


معرض الأعمال



شراء الخدمة

سعر الخدمة
$5.00
تطويرات اختيارية

10 أسئلة إضافية

  • 5 دولار

20 سؤال إضافى

  • 15 دولار

50 سؤال إضافى

  • 25 دولار
  • يوم واحد

بطاقة الخدمة

بطاقة الخدمة

شراء الخدمة

سعر الخدمة
$5.00
تطويرات اختيارية

10 أسئلة إضافية

  • 5 دولار

20 سؤال إضافى

  • 15 دولار

50 سؤال إضافى

  • 25 دولار
  • يوم واحد

كلمات مفتاحية