وصف الخدمة

هل تملك بيانات وتبحث عن وسيلة لتحويلها إلى توقعات دقيقة تدعم قراراتك؟ كمهندسة متخصص في الذكاء الاصطناعي، أقدم لك حلولاً ذكية مبنية على أسس هندسية دقيقة.
من خلال هذه الخدمة، سأقوم ببناء نموذج تعلم آلة (Machine Learning Model) احترافي مخصص لمشروعك، سواء كان للتنبؤ بسلوك العملاء، تصنيف البيانات، أو تحليل الاتجاهات المستقبلية.
تشمل الخدمة:

تنظيف البيانات (Data Cleaning) ومعالجتها برمجياً.

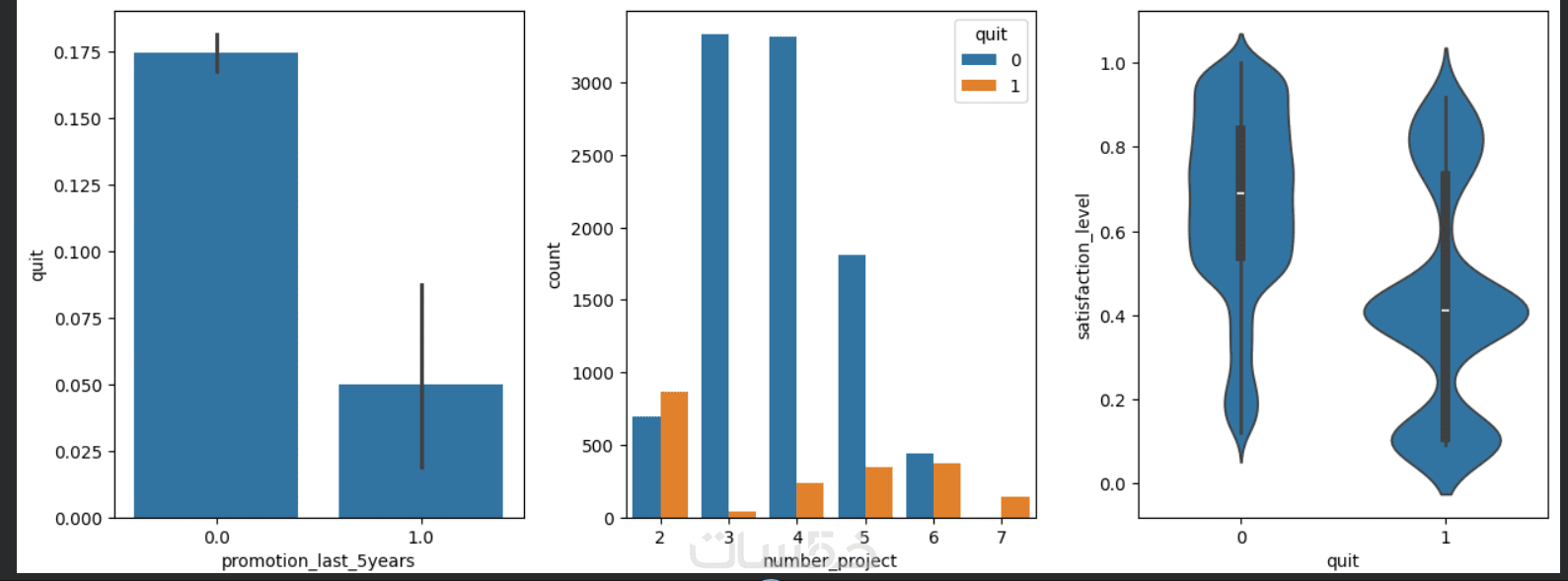
تحليل البيانات الاستكشافي (EDA) لفهم العلاقات بين المتغيرات.

بناء وتدريب النموذج باستخدام خوارزميات متقدمة (مثل CatBoost, Random Forest, XGBoost).

خلفية هندسية: أطبق معايير الدقة الهندسية في كتابة الكود وبناء الخوارزميات.

خبرة عملية: قمت ببناء أنظمة تنبؤية لمشاريع زراعية (Smart Farm) وإدارية (Employee Turnover) وحصلت على تقدير امتياز (A+).

أدوات احترافية: أستخدم Python و Google Colab لضمان أفضل أداء.


معرض الأعمال


ما الذي ستستلمه

بناء نموذج ذكي : سأقوم بتدريب خوارزمية مناسبة لبياناتك (مثل Linear Regression أو Decision Tree).+كود colab

شراء الخدمة

سعر الخدمة
$5.00
تطويرات اختيارية

تقديم تقرير بدقه النموذج

  • 5 دولار

 لاظهار شغل الموديل ومعرفه كيفيه تشغيلها عندك 

  • 15 دولار
  • يومين

بطاقة الخدمة

بطاقة الخدمة

شراء الخدمة

سعر الخدمة
$5.00
تطويرات اختيارية

تقديم تقرير بدقه النموذج

  • 5 دولار

 لاظهار شغل الموديل ومعرفه كيفيه تشغيلها عندك 

  • 15 دولار
  • يومين