عن الخدمة

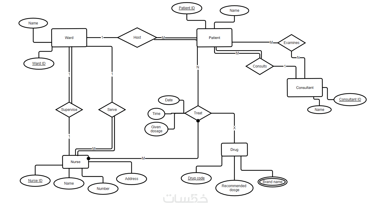
اذا كنت تريد مخطط ERD لقاعدة بيانات لتوضيح العلاقات والجداول بها, سأساعدك للوصول للمخطط الذي يناسبك
ليسهل عليك تحويله الى قاعدة بيانات منظمة

سأقدك في الخدمة الاساسية لك:

تصميم مخطط قاعدة بيانات (ERD) احترافي (5 جداول / Entities )
تحويله لكود SQL لتطبيقه في قاعدة البيانات


مميزات الخدمة

مقابل قيمة الخدمة الأساسية، سأقوم بتصميم مخطط ERD لنظام مبسط يتضمن:

تحليل وتحديد الكيانات (Entities): تحديد الجداول الأساسية التي يحتاجها نظامك (حتى 5 جداول / Entities).

تحديد السمات (Attributes): تحديد الأعمدة (Fields) لكل جدول مع اختيار دقيق لأنواع البيانات المناسبة (Data Types).

تحديد المفاتيح (Keys): تحديد المفتاح الأساسي (Primary Key) لكل جدول.

تحديد العلاقات (Relationships): ربط الجداول ببعضها بالعلاقات الصحيحة (One-to-One, One-to-Many, Many-to-Many) وتحديد المفاتيح الأجنبية (Foreign Keys).
يكون التسليم بصيغ متعددة للملف ( png - jpg - drawio ) ومتاح التعديل للوصول للمخطط المطلوب والامثل

تسليم ملف الـ SQL: ستحصل على ملف نصي (.sql) يحتوي على أوامر CREATE TABLE لجميع الجداول الخمسة، متضمنة جميع القيود (Constraints) والمفاتيح لضمان سلامة البيانات (Data Integrity).


معرض الأعمال

شراء الخدمة

سعر الخدمة
$5.00
تطويرات اختيارية

تصميم 5 جداول في 12 ساعة

  • 5 دولار

زيادة 4 جداول مع كود الSQL وتطبيق قواعد ال normalization

  • 5 دولار
  • يومين

شرح المخطط عبر اي منصة لمدة 15 - 30 دقيقة 

  • 15 دولار
  • يوم واحد

بطاقة الخدمة

بطاقة الخدمة

شراء الخدمة

سعر الخدمة
$5.00
تطويرات اختيارية

تصميم 5 جداول في 12 ساعة

  • 5 دولار

زيادة 4 جداول مع كود الSQL وتطبيق قواعد ال normalization

  • 5 دولار
  • يومين

شرح المخطط عبر اي منصة لمدة 15 - 30 دقيقة 

  • 15 دولار
  • يوم واحد